学习强国

微信

山大发布

抖音

视频号

微博

小红书

快手

哔哩哔哩

山东大学报

学术预告

数学学院珠峰讲坛第645期:Multiple solutions for a class of BVPs of fractional discontinuous differential equations with impulses

发布:山东大学融媒体中心 日期:2023年05月14日 点击数:

一、讲座题目

Multiple solutions for a class of BVPs of fractional discontinuous differential equations with impulses

二、主讲人

刘衍胜

三、摘要

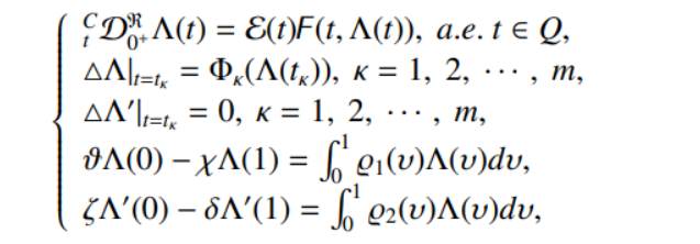
In this work, we studied the existence of positive and multiple positive solutions for a class of BVPs of fractional discontinuous differential equations with impulse effects:

The main results are obtained by means of the multivalued analysis and Krasnoselskii’s fixed point theorem for discontinuous operators on cones. An example is given to confirm the main results in the end.

四、主讲人简介

刘衍胜,山东师范大学数学与统计学院教授,山东省数学会副理事长,主要研究方向为非线性微分方程、非线性泛函分析。2011年5月至2015年7月担任数学科学学院副院长,2015年8月至2019年5月担任数学与统计学院院长。完成国家自然科学基金5项,主持完成山东省自然科学基金项目3项、教育部重点项目1项和山东省研究生教育创新计划项目1项,目前承担国家自然科学基金项目2项。与他人合作在科学出版社出版专著两部,有五十余篇学术论文发表在SCI收录的杂志上。

五、邀请人

崔玉泉 数学学院教授

六、讲座时间

5月21日(周日)9:00-10:00

七、讲座地点

中心校区知新楼B座924报告厅

八、主办单位

山东大学数学学院


【供稿单位:数学学院     作者:张志越    责任编辑:崔添 谢婷婷】