学习强国

微信

山大发布

抖音

视频号

微博

小红书

快手

哔哩哔哩

山东大学报

学术纵横

李盛英教授与合作团队在细菌二萜合酶研究领域取得重要进展

发布:山东大学融媒体中心 日期:2023年07月08日 点击数:

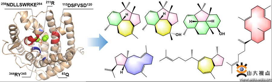
[本站讯]近日,山东大学微生物技术国家重点实验室李盛英教授团队联合湖北大学郭瑞庭教授和中山大学巫瑞波教授团队,综合采用微生物学、生物化学、结构生物学及计算化学等技术手段,阐明了来自委内瑞拉链霉菌的二萜合酶VenA的催化机制及其结构基础,并基于生物信息学分析揭示了隐藏于大自然中的微生物I型萜类合酶新亚族,相关研究结果以“Molecular insights into the catalytic promiscuity of a bacterial diterpene synthase”为题发表于《自然▪通讯》(影响因子:16.6)。山东大学特别资助类博士后李众与湖北大学张丽兰副教授、中山大学硕士生徐康为是本文的共同第一作者,李盛英教授与郭瑞庭教授、巫瑞波教授为共同通讯作者,山东大学微生物技术国家重点实验室为第一完成单位和通讯作者单位。

undefined

萜类化合物作为自然界中数量最为庞大的一类天然产物,化学结构及生物学功能多样,在实际生产生活中具有重要应用价值。其中,萜类化合物的复杂碳氢骨架一般是由“多才多艺”的萜类合酶催化寡聚异戊烯基焦磷酸底物组装而成。李众博士和李盛英教授前期通过基因挖掘策略从模式放线菌委内瑞拉链霉菌中鉴定了一种新型二萜产物—委内瑞拉烯的生物合成基因簇(2020年发表于ACS Catalysis并被Natural Product Reports遴选为“Hot off the press”)。其中,含非经典基序115DSFVSD120的二萜合酶VenA具有天然的底物宽泛性,既可催化香叶基香叶基焦磷酸(GGPP,C20)的独特环化反应产生含5-5-6-7新骨架的委内瑞拉烯A,还可催化法尼基焦磷酸(FPP,C15)和香叶基焦磷酸(GPP,C10)分别得到主产物hedycaryol和单一产物香叶醇。

本研究中,研究人员解析了VenA的高分辨率晶体结构(apo形式及其与三核镁团簇/焦磷酸基团结合的holo形式),其代表目前首例催化GGPP前体1,10-起始环化反应的二萜合酶结构,并为理解该类型环化反应提供了重要的分子基础。通过进一步晶体结构分析、多尺度计算模拟(MD和QM/MM)及突变实验为理解VenA的底物杂泛性、生物合成5-5-6-7碳骨架提供了重要的机制性认识。其中,通过酶工程改造获得的VenA系列突变体催化合成了四种新型二萜类化合物,包括含6-5-6-6新骨架的委内瑞拉醇B及具有抗菌活性的委内瑞拉醇A和dictytriene C。与此同时,本研究从VenA出发进行了大胆的半理性设计改造,首次将二萜合酶改造成识别香叶基法尼基焦磷酸底物(GFPP,C25)的二倍半萜合酶。最终,通过针对VenA的非经典基序(对应萜类合酶中保守基序“DDXX(X)D/E”)的结构和功能研究表明,其缺失的第二个天冬氨酸由Ser116和此前被忽视的Gln83所功能性替代,二者与保守Arg344形成了氢键网络来维持VenA催化口袋疏水性。基于该结构特征,结合细致的生物信息学分析,研究人员发现了微生物中广泛存在的I型萜类合酶新亚族(含非经典基序“D(S/T/N)XX(X)D/E”及其上游约30个氨基酸的保守Q/E残基)。该研究有望为关于新颖萜类合酶的挖掘及其“序列—结构—功能”研究和经典基序的进化演变提供借鉴和理论依据。

undefined

该研究工作得到了国家重点研发计划、国家“博新计划”、国家自然科学基金、山东省自然科学基金、博士后面上等项目的资助。山东大学生命环境研究公共技术平台为本工作提供了重要支持。


论文链接:https://www.nature.com/articles/s41467-023-39706-9


【供稿单位:微生物研究院     作者:李众 李盛英    责任编辑:胡潇月 王莉莉】