[本站讯]近日,前沿交叉科学青岛研究院朱辉教授团队与南昌大学合作,在地球磁赤道附近磁层-电离层耦合区域的离子成分诊断方面取得重要进展。研究成果以“Wave-based quantification of ion composition in the Earth's magnetosphere-ionosphere-coupling region”为题,发表在空间物理TOP期刊Geophysical Research Letters(自然指数期刊,IF=5.1)。山东大学博士研究生秦志杰为论文第一作者,山东大学教授朱辉、南昌大学研究员欧阳志海为共同通讯作者,山东大学为论文第一单位。
离子成分是决定等离子体动力学特性的关键参数,直接影响着磁层-电离层耦合区域的能量传输过程。然而,该区域的离子成分随高度、纬度、地方时、经度以及地磁和太阳活动变化显著,直接测量面临巨大挑战。磁层卫星的等离子体仪器通常为适应磁层环境而优先考虑大动态范围,对该区域低能冷等离子体的灵敏度不足,且易受航天器充电效应干扰;低地球轨道(Low Earth Orbit, LEO)卫星虽适合冷等离子体探测,但轨道高度有限,垂直覆盖范围受限;地面非相干散射雷达则面临运行成本高、空间覆盖不足等问题。因此,发展间接诊断离子成分的新方法具有重要意义。

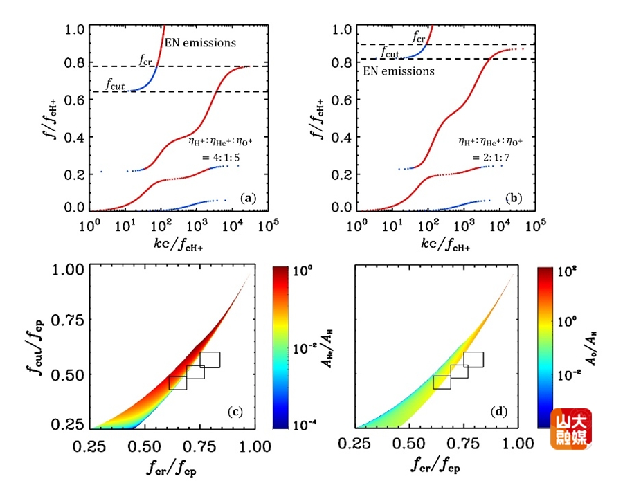
图1 (a, b)不同离子组成环境下赤道噪声的色散关系。(c, d)离子组成关于特征频率的二维函数图
朱辉教授带领课题组成员与南昌大学合作,基于之前对磁赤道区域L< 2范围内赤道噪声的统计工作,提出了一种基于极化反转特征频率反演离子成分的新方法。赤道噪声在向地球传播过程中会穿过磁层-电离层耦合区域,并在该区域发生极性反转,其极化状态会从右旋转变为左旋。在极性反转过程中,赤道噪声具有两个受局地离子组成决定的特征频率:左旋折射率等于右旋折射率的交叉频率和左旋折射率趋向于零的截止频率。在已知背景磁场强度的情况下,可以将离子组成表示为特征频率的函数(图1)。朱辉教授带领研究团队基于范艾伦探测器2012–2018年期间的高分辨率波动数据,识别出这两个特征频率并反演了该区域离子组成,构建了完备的离子成分数据集。


图2 赤道噪声的观测事例及特征频率的识别以及基于波反演的离子组成与IRI模型的对比结果
研究结果表明,基于特征频率反演的离子成分与国际参考电离层模型IRI及LEO卫星(美国国防气象卫星DMSP-f18)的原位观测结果具有较好的一致性,验证了该方法的可靠性。该方法为磁赤道附近磁层-电离层耦合区域的离子组成提供了新的观测手段,特别适用于传统等离子体测量受限的区域。鉴于类似波动现象在其他行星中也普遍存在,该方法未来有望用于行星等离子体环境的间接探测。
朱辉教授长期致力于磁层中波粒相互作用、辐射带电子演化以及等离子体波动特性研究,该系列研究工作得到了国家自然科学基金、山东省自然科学基金和山东大学杰出中青年基金联合支持。